APA Style
Rocktotpal Konwarh. (2025). Embracing Sustainable Processes in the Pharmaceutical Industry with Green Chemistry and Engineering. Sustainable Processes Connect, 1 (Article ID: 0013). https://doi.org/10.69709/SusProc.2025.133442MLA Style
Rocktotpal Konwarh. "Embracing Sustainable Processes in the Pharmaceutical Industry with Green Chemistry and Engineering". Sustainable Processes Connect, vol. 1, 2025, Article ID: 0013, https://doi.org/10.69709/SusProc.2025.133442.Chicago Style
Rocktotpal Konwarh. 2025. "Embracing Sustainable Processes in the Pharmaceutical Industry with Green Chemistry and Engineering." Sustainable Processes Connect 1 (2025): 0013. https://doi.org/10.69709/SusProc.2025.133442.
ACCESS
Review Article
Volume 1, Article ID: 2025.0013
Rocktotpal Konwarh
rock@bkrfoundation.com
Baba Kinaram Research Foundation, 769/1-A, Brahmsthan Sahadatpura, Mau 275101, Uttar Pradesh, India
Received: 26 May 2025 Accepted: 26 Aug 2025 Available Online: 27 Aug 2025 Published: 05 Sep 2025
The pharmaceutical industry, vital for global health, faces increasing pressure to mitigate its substantial environmental footprint, characterized by extensive waste generation, high energy consumption, and reliance on hazardous chemicals. It is imperative to integrate green chemistry and engineering principles across the pharmaceutical lifecycle, as supported by recent studies. This discussion covers innovations such as the development, including the development of next-generation green solvents, the transformative potential of advanced catalysis for milder and more selective reactions, and the efficiency gains achieved through advanced process intensification and continuous-flow-based active pharmaceutical ingredient (API) synthesis. Artificial intelligence and machine learning (AI/ML) can play a pivotal role in drug design and discovery, predictive toxicology, automated reaction optimization, and sustainable supply chain management. Implementing circular economy principles, such as harnessing biobased feedstocks, waste valorization and treatment, as well as harmonized regulatory frameworks and incentives, is crucial. Despite clear benefits, the pharmaceutical industry faces several obstacles in the widespread adoption and scale-up of green chemistry. These include technical difficulties, economic considerations, knowledge and training gaps, and resistance to ‘unproven’ methods. This article emphasizes that adopting greener approaches is not merely an environmental obligation but a strategic imperative for economic viability, enhanced safety, and improved public perception within the evolving pharmaceutical landscape.
Green chemistry, engineering, and AI/ML are reviewed under a sustainable pharma lens Next-gen solvents and photo/biocatalysis are presented within a unified framework Continuous-flow API synthesis is highlighted as central to greener manufacturing Circular economy principles are directly linked to pharma production chains Technical, regulatory, and knowledge gaps are examined alongside innovations Green adoption is positioned as a strategic and economic imperative for pharma
The triple bottom line model and UN Sustainable Development Goals (UNSDGs) challenge businesses and industries to be accountable for their broader impact on the world, recognizing that economic prosperity is intertwined with social well-being and environmental health [1]. The pharmaceutical industry is a cornerstone for global health. However, it is a significant contributor to environmental impact through its resource-intensive multi-step processes, the consumption and generation of hazardous materials at various stages, and high energy requirements. This backdrop makes the implementation of green chemistry and engineering approaches and innovations not only pertinent but also crucial for the industry’s sustainable future. According to the United States Environmental Protection Agency (US EPA), “Green chemistry is the design of chemical products and processes that cut or eliminate the use or generation of hazardous substances. Green chemistry applies across the life cycle of a chemical product, including its design, manufacture, use, and ultimate disposal.” [2]. The twelve principles of green chemistry [Table 1] provide a roadmap for innovation in this regard, transitioning from end-of-pipe solutions to pollution prevention at the design stage. Green engineering extends these principles to the design, commercialization, and use of processes and products in a way that is economically viable and minimizes pollution at the source [3]. The 12 Green Chemistry Principles. Prevent Waste—Avoid creating waste rather than treating or cleaning it up later. Atom Economy—Maximize incorporation of all materials into the final product. Less Hazardous Synthesis—Use methods that minimize toxicity to humans and the environment. Design Safer Chemicals—Create products that are effective yet non-toxic. Safer Solvents and Auxiliaries—Use harmless or minimal solvents and auxiliary compounds. Design for Energy Efficiency—Reduce energy use; fav or ambient temperature and pressure conditions. Use Renewable Feedstocks—Prefer raw materials from renewable sources. Reduce Derivatives—Avoid unnecessary modification steps that generate waste. Catalysis—Use selective catalysts to increase efficiency and reduce waste. Design for Degradation—Make products that break down safely after use. Real-time Analysis—Monitor processes to prevent hazardous byproducts. Inherently Safer Chemistry—Choose substances and processes to minimize accident potential. In the contemporary pharmaceutical industry, embracing green chemistry principles has become an indispensability in the context of the dual imperatives of rising raw material costs and increasing regulatory and societal demands for environmental responsibility [1,2,4]. The pharmaceutical industry encompasses intricate processes ranging from developing active pharmaceutical ingredients (APIs) to delivering medications to end users. It covers the manufacturing, supply, and use of drugs by stakeholders such as consumers, hospitals, and distributors [1]. In fact, the global production of active pharmaceutical ingredients (APIs), estimated at 65–100 million kilograms annually, generates approximately 10 billion kilograms of waste, incurring disposal costs of around $20 billion [5]. Thus, integrating green chemistry is crucial for the pharmaceutical industry to reduce its massive environmental footprint (waste, emissions), lower costly hazardous material disposal, enhance worker safety, and boost public trust. As highlighted in Table 2, this holistic approach is expected to ensure not only the long-term viability and profitability of the industry but also to contribute significantly to a healthier planet and society. Envisaged triple bottom line benefits of adopting green chemistry and engineering. Green methods cut hazardous waste by improving atom efficiency and using safer solvents (reduced pollution and waste) Optimized, circular processes use fewer raw materials, water, and energy (lower resource consumption) Energy-efficient designs and renewable energy lower carbon emissions (mitigation of climate change) Less use of toxic chemicals means safer conditions for workers (increased worker safety) Cleaner production protects nearby communities and boosts industry trust (improved public health and perception) Materials are sourced responsibly to avoid environmental or social harm (ethical sourcing) While initial investment in green technologies might seem high, long-term savings come from reduced waste, energy, and safety costs (cost reduction) Green practices drive innovation and attract eco-conscious consumers (innovation and competitive advantage) Proactive adoption of green practices can help companies stay ahead of evolving environmental regulations, reducing the risk of fines, legal challenges, and reputational damage (reduced regulatory burden and risk) Sustainability enhances brand loyalty and attracts responsible investors (brand value and investor appeal) This integration is no longer an option but a strategic imperative. It is about moving beyond mere compliance to fostering a culture of innovation that embeds sustainability at the core of every product and process. However, there are multiple hurdles in doing so, as explicated later in this article. Before proceeding, it is important to review recent efforts aimed at aligning the pharmaceutical industry with the principles of green chemistry and engineering in the following section.Anastas and Warner summarized Green Chemistry into 12 principles, considered as the pillars for a sustainable environment [2]:
Dimension
Key Aspect
Environmental sustainability
Social sustainability
Economic sustainability
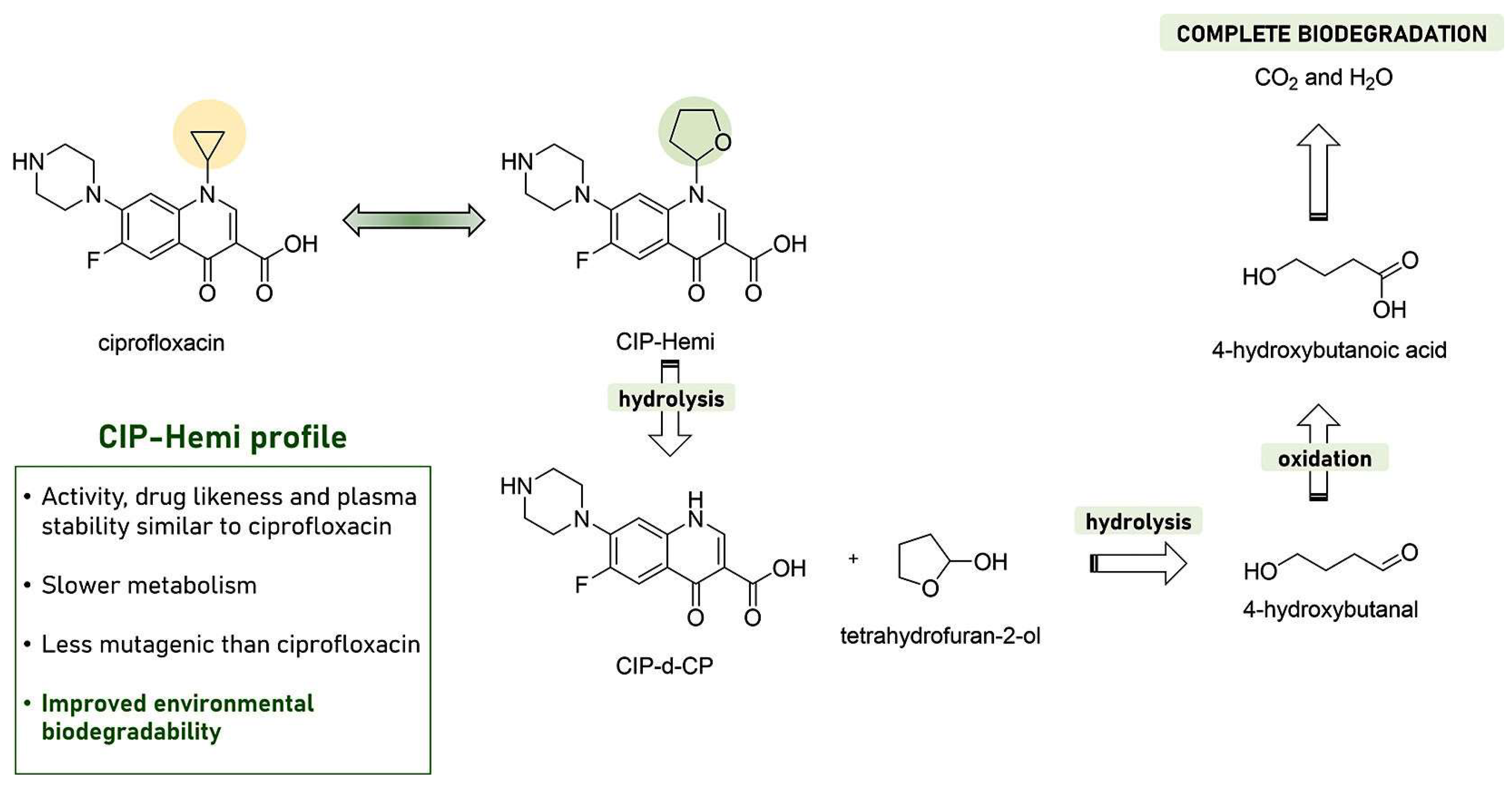
The pharmaceutical industry is at a crucial juncture, urged to replace fossil-based organic-chemical raw materials and plastics used in packaging and manufacturing to significantly reduce emissions [6]. This shift is not just about sourcing renewable feedstocks/non-fossil carbon; it also demands renewable energy for production strategies. Achieving this requires supply chain transparency through comprehensive material declarations, which will also reduce reliance on volatile oil markets. While simply substituting fossil-based chemicals is a start, a long-term strategy involves designing processes with green chemistry and de-fossilization in mind from inception. On a positive note, various companies are switching to greener starting materials and alternatives to promote eco-friendly pharmaceutical practices. Three pharma-industry relevant MERCK (/Sigma Aldrich) products/reagents [7,8,9], developed in line with green chemistry principles, are presented in Table 3. Efforts are being directed towards the use of bio-based feedstocks in the pharma industry. As an example of agro-waste valorization, cashew nut shell liquid (CNSL), rich in bioactive compounds such as anacardic acid, cardol, cardanol, and 2-methylcardol, was converted into pharmaceuticals based on a green metathesis approach [10]. Compound 5 (as shown in Figure 1) [11] was found to be a promising candidate against Trypanosoma brucei, the parasite that causes African animal trypanosomiasis. Previously, six ether phospholipid analogs were synthesized using CNSL [12]. The compounds showed potent antiparasitic activity against Trypanosoma cruzi, the causative agent of Chagas disease, includes two compounds that are significantly more selective than the current drug, benznidazole. Such biobased waste valorization in Asian and African countries (prime CNSL producers) could (a) catalyze the establishment of local pharma-industries to cater to the public health requirements, (b) augment job creation and economic progress, (c) lessen the dependence on pharmaceutical imports, and (d) reduce carbon emissions, linked to long-distance freight [11]. A few representative MERCK (/Sigma Aldrich) products, streamlined in the guidelines of green chemistry. A bio-renewable cosolvent solution, certified as containing 100% renewable carbon. Aligned with green chemistry principles such as “Safer Solvents and Auxiliaries” and “Use of Renewable Feedstocks,” it offers a sustainable alternative to traditional petroleum-based solvents like DMF and NMP in multiple cross-coupling reactions, such as HATU amide coupling, Suzuki-Miyaura, Sonogashira, and reductive homocoupling. Unlike conventional solvents, Cyrene™ and γ-Valerolactone (GVL) pose no genotoxic or mutagenic risks, making them safer options. Additionally, its lower viscosity compared to pure Cyrene makes it well-suited for automated processing applications. Air-stable electron-rich biaryl monophosphine ligand developed by the Buchwald group to enhance the reactivity of palladium catalysis during cross-coupling reactions. Also, it is a preferred ligand for greener Sonogashira coupling in TPGS-750-M (a 2nd generation amphiphile for organometallic chemistry in water). It belongs to the category of ‘re-engineered products’, showing key improvements in green chemistry principles: ‘waste prevention,’ ‘atom economy,’ ‘use of renewable feedstock,’ and ‘enhanced catalytic activity.’ Projected as a greener antibody for multiple immunoassays, it is expected to assist in reducing the environmental footprint in biomedical research. It is tagged as a ‘greener alternative product’, aligning with the principles of ‘waste prevention,’ ‘designing safer chemicals,’ and ‘design for energy efficiency.’ Lyophilized for ambient temperature storage and transport, it eliminates the need for ice bricks or polystyrene foam and uses low-waste, eco-friendly SMASH packaging for shipping. Recombinant production reduces animal use and distress compared to traditional polyclonal antibody methods, while enhancing specificity, affinity, and reproducibility. Additionally, it contains no biocides, preservatives, or animal-derived components, further supporting its environmentally responsible profile. The synthesis of pharmaceuticals typically involves multi-step reactions. Accordingly, optimizing atom economy, minimizing solvent consumption and waste, employing alternative reaction media, and implementing process intensification are key strategies for enhancing both economic and environmental sustainability [2]. Recent developments have led to notable transformations in synthetic strategies, particularly one-pot synthesis (telescoping) and multicomponent reactions (MCRs). This involves strategic design of reaction pathways and careful selection of reagents and safe solvents. Particularly, solvent-free approaches have garnered considerable research attention. For example, Lopez-Mercado et al. (2024) employed a solvent-free method using silica gel as a solid acid support to synthesize phenylaminonaphthoquinones, demonstrating their antibacterial and antiparasitic properties [13]. In addition to studies on water as a solvent, green chemistry research has encompassed significant exploration of ionic liquids and supercritical fluids, leading to novel scientific understanding. Despite their intrinsic advantages and limitations, large-scale industrial adoption of ionic liquids and supercritical fluids as reaction media remains limited. Researchers may exploit greener alternatives like p-Cymene (from citrus waste) (non-toxic, renewable), CyreneTM (biodegradable, non-carcinogenic), γ-Valerolactone (GVL) (biomass-derived, low toxicity), 2-Methyltetrahydrofuran (2-MeTHF) (safer, recyclable), and PolarClean (non-flammable, biodegradable) in lieu of toluene, dichloromethane (DCM), N-methyl-2-pyrrolidone (NMP), Hexane, and Dimethylformamide (DMF), respectively [2,14]. On a specific note, interlacing artificial intelligence (AI) can be instrumental in designing novel, non-toxic, and greener solvents from scratch, predicting solvent performance and compatibility, optimizing reaction conditions, and recommending bio-based alternatives, significantly reducing pre-lab experimentation [14]. Remarkably, Winterton (2021) argued that instead of labeling solvents as “new” or “green,” it is more accurate and useful to consider them “sustainable solvents.” This implies evaluating their full life cycle impact—from raw material sourcing and production to use and disposal—across toxicological/ ecotoxicological, environmental, resource depletion, and economic dimensions, ideally using a life cycle assessment (LCA) [15]. Catalysts play a vital role in the pharmaceutical industry by accelerating reactions, improving efficiency, and ensuring product purity. They facilitate complex drug synthesis, reduce waste, lower energy consumption, and are essential for advancing sustainable and greener manufacturing processes. Various solid-supported catalysts provide robust platforms with increased surface area, thermo- and chemo-stability, and recyclability for high-selectivity transformations (e.g., C-C-cross-coupling reactions) with minimal leaching, agglomerations, and side product generation [16]. To advance base metal catalysis, researchers from Bristol-Myers Squibb Company (USA) optimized and demonstrated a kilogram-scale nickel-catalyzed borylation/palladium-catalyzed Suzuki telescoped approach for introducing a bis-heteroaryl bond in afimetoran (an immunomodulator and an antagonist of toll-like receptors 7 and 8) [17]. Comparably, an iridium-catalyzed C–H amination method, developed via high-throughput experimentation, was designed for automated drug discovery. Its key green chemistry aspect was reaction miniaturization to the nanomolar scale, significantly reducing material consumption and promoting sustainable screening for late-stage drug functionalization [18]. Likewise, Guillemard et al. (2024) reported a ruthenium-catalyzed late-stage meta-C(sp2)–H alkylation for pharmaceuticals. This approach efficiently introduced pharmaceutically relevant alkyl units, enabling rapid generation of useful drug analogues and modulating biological attributes of the drug candidates without lengthy de novo syntheses, benefiting drug development protocol [19]. The robust ruthenium-catalyzed late-stage C–H amidation technique has also been employed for synthesizing PROteolysis TArgeting Chimeras (PROTACs) (promising new class of drugs with the potential to treat various diseases, including cancers and chronic conditions). It overcomes current synthetic limitations by enabling the direct functionalization of complex bioactive molecules using readily available dioxazolone reagents and leveraging inherent directing groups. This can enable a modular and efficient single-step access to advanced therapeutics and chemical biology tools, streamlining PROTAC development [20] (Figure 2A). Biocatalysis represents a pivotal approach for the sustainable manufacturing of complex natural products and APIs, while one-pot multienzyme reactions are also being widely reported [21]. Enzymes enhance selectivity, align with green chemistry principles, and are widely used in drug synthesis, from small molecules to biologics. Their compatibility with mild, aqueous conditions reduces energy requirements and enhances safety. Substrate versatility is another important feature, essential for the synthesis of diverse drug compounds. As environmentally friendly catalysts, these serve different pharmaceutical applications, including (a) chiral synthesis, (b) drug activation/derivatization/modification, and c) bioconjugation/targeted delivery [22]. As an example, Prof. Hayes and his team demonstrated that oxalate oxidase (OXO) effectively generates the necessary hydrogen peroxide (H2O2) in situ for unspecific peroxygenase (UPO), a promising industrial biocatalyst (Figure 2B). This one-pot, cost-effective method (using oxalate as a cheap sacrificial electron donor and producing only CO2 as by-product) enabled efficient oxyfunctionalization of various drugs, confirmed through high-throughput screening and a 50 mg scale-up for the drug tolmetin with 84% yield, further augmented post enzyme immobilization [23]. Multidisciplinary approaches like protein engineering, computational biology, and nanoarchitectonics are further advancing enzyme-based catalysis, enabling tailored biocatalysts, better mechanistic understanding, and improved stability/reusability for large-scale pharmaceutical production [22]. It is also worth mentioning that multi-enzyme cascades offer significant advantages like shifting reaction equilibrium towards the product side, eliminating intermediate isolation, and enabling one-pot synthesis of complex molecules. Harnessing this approach, pharmaceutical manufacturing can reap substantial benefits [24,25]. As an exemplary piece of evidence, Merck developed LAGEVRIO™ (molnupiravir), an antiviral for COVID-19, initially via a five-step, wasteful synthesis. A second-generation process significantly improved sustainability by enhancing the yield 1.6-fold and reducing solvent waste. Key innovations included dynamic crystallization to enhance recovery and reduce waste, as well as direct isolation to lower solvent and energy consumption by modifying the reaction base and solvent. Ultimately, a three-step biocatalytic cascade was developed, utilizing uracil and ribose directly, establishing a new green platform for nucleoside synthesis [26]. These innovations collectively support a transition toward sustainable production paradigms. Likewise, the use of microwave and sonochemical techniques is being reported in an increasing number of research articles and patents [27], although issues of scalability cannot be unheeded. Nevertheless, biphasic catalysis and sonochemical activation in liquid-liquid systems show promise for scalable, mild reactions [28]. Besides, visible-light catalysis has emerged as a powerful tool in organic chemistry, enabling low-temperature synthesis of drug building blocks. This technology facilitates rapid compound testing and utilizes safer reagents, opening innovative and effective synthetic approaches. As an exemplary piece of evidence, I wish to cite Caldora et al. (2023)’s strategy to synthesize (highly) substituted phenols from saturated cyclohexanone precursors (Figure 2C). This process operates at ambient temperature using simple purple light irradiation and a dual catalytic system involving four sequential H-atom transfer steps [29]. In like manner, researchers from AstraZeneca and RWTH Aachen University devised a mild and scalable photocatalytic method for synthesizing alkyl sulfonyl fluorides from common alkyl bromides and alcohols. The approach, involving halogen atom transfer, SO2 capture, and fluorination, offers rapid access to valuable derivatives and has been successfully scaled up using a continuous stirred tank reactor cascade [30]. Although photochemistry is widely used in the initial stages of drug discovery and process development, survey data reveal a growing trend: more companies are successfully scaling up photochemical reactions in later development phases, frequently by using flow chemistry [31]. A topical comprehensive study [32] comparing batch and continuous-flow dependent API synthesis using techno-economic analysis and LCA for seven APIs revealed that flow processes are generally more sustainable. Continuous-flow processes demonstrated an average 78% reduction in energy consumption, with capital costs of $2M–$4M compared to $3M–$7M for the batch counterpart. They also demonstrated 50–90% lower water usage, approximately 79% reduced CO₂ emissions, and an 87% reduction in the environmental factor (E-factor), decreasing from 10–110 in batch processes to 2–20 in flow processes. Examination across nine planetary boundaries unmasked that continuous-flow implementation led to reductions in atmospheric aerosol loading, carbon emissions, as well as ocean acidification. However, the necessity of further optimization of flow processes was underscored for certain APIs regarding operating costs and organic solvent consumption-related land system alterations. In this context, Process Analytical Technology (PAT) encompasses real-time monitoring and control of processes with advanced sensors and analytical tools, help optimize reaction conditions, detect deviations, and minimize waste generation. Notably, a wide range of green chemistry metrics has been developed to assess the greenness and compare the various synthetic pathways for a given product. These include environmental factor (E factor), atom economy (AE), chemical yield (CY), carbon economy (CE), solvent intensity (SI), and waste water intensity (WWI), amongst others [2]. A key metric in evaluating the environmental footprint of a process is Process Mass Intensity (PMI), which measures the total input mass (e.g., solvents, reagents, water) per unit of product. Tools like PMI calculators [33,34] can help chemists predict and compare the sustainability of synthetic routes. Collaboration between industry and academia has led to the development of an innovative Green Aspiration Level (iGAL) to precisely and objectively measure process performance and inspire innovation in sustainable drug production. iGAL provides a molecular-weight-based “fixed” goal and a remarkable proxy for molecular complexity. Further refined, iGAL 2.0 incorporates yield (YD) and convergence (CV) as key sustainability indicators, aiming to help achieve the UN’s goal of reducing production waste and facilitating greener API manufacturing [35]. An associated Scorecard Calculator assesses the greenness of pharmaceutical manufacturing processes by statistically analyzing 64 real-world API production methods, covering 703 steps from 12 different companies [36]. In fact, medicines contribute significantly (20–55%) to healthcare’s carbon footprint. A comprehensive LCA of 12,316 oral medicines from the French pharmacopeia revealed corporate emissions (34.5%), API production (28.5%), and medicine manufacturing (25.5%) as the largest contributors [37]. Medicine carbon footprints were highly variable, with lower-cost, orphan, and innovative medicines often having a higher impact. The findings provided a valuable database for eco-designing healthcare pathways. Kong et al. (2021)’s LCA of enrofloxacin (ENR, an antibiotic) production highlighted the pharmaceutical industry’s significant environmental footprint despite its health and economic contributions [38]. The study identified isopentanol (as a solvent) and electricity as the primary contributors to environmental impact in ENR manufacturing. To mitigate these impacts, three key improvements were proposed and evaluated: replacing isopentanol with ethanol (reducing ecological index points by 40 kPt), switching from coal-fired power to liquefied natural gas (decreasing impact by 30 kPt), and a synergistic application of these changes, which yielded the greatest reduction (66 kPt) and amended toxicity levels. These findings underscore the effectiveness of process optimization for strategizing greener pharmaceutical production. On the other hand, poorly treated and disposed pharmaceutical wastewater with antibiotics and resistance genes gravely threatens ecosystems and human health [39]. This necessitates urgent, collaborative action across all sectors, embracing a “One Health” approach to establish global standards for effluent antibiotic residues, develop effective treatment technologies, and bolster antimicrobial resistance (AMR) action plans to ensure both public health and environmental safety [40]. Evangelista et al. (2025)’s exploration of a deep learning model (a message-passing neural network, MPNN via Chemprop) for predicting the persistence, bioaccumulation, and toxicity (PBT) of pharmaceutical compounds (Figure 2D) merits special mention [41]. By clustering data for fair assessment, the model identified PBT-relevant substructures in drug molecules. These findings are envisaged to act as “structural flags” for drug designers, enabling the development of more environmentally friendly drug candidates early in the discovery process, without losing therapeutic efficacy. In this context, developing pharmaceutical products that break down into innocuous substances after use is crucial to prevent environmental persistence. Leder et al. (2021) successfully developed CIP-Hemi (a fluoroquinolone, designed to be environmentally friendly) [42]. Unlike its persistent starting material, ciprofloxacin (CIP), CIP-Hemi maintains its effectiveness but breaks down into an inactive fragment (CIP-d-CP) and a linker degradable under acidic conditions, when released into the environment (Figure 3) [11]). In the same vein, Espinosa et al. (2022) proposed a novel retrocatabolic drug design strategy for proactive eco-designing of drugs [43]. Instead of merely treating pollutants after they are released, this method was based on embedding a chemically sensitive group within the drug’s molecular structure itself, ‘programming’ the drug to fragment more easily and rapidly under photo-irradiation at 254 nm (mimicking drinking water treatment). Using methotrexate as a model, an ether analog was designed with a similar pharmacological profile. The analog showed faster degradation kinetics and, importantly, its transformation products were significantly less cytotoxic than those of the original drug. The aforementioned examples demonstrate the efforts of the pharmaceutical industry and researchers to implement a range of strategies for integrating green chemistry principles and innovations into drug discovery and manufacturing.Product
Properties, Aligned with Sustainability/Green Chemistry Principles
SOLVENT
Cyrene™ γ-Valerolactone Blend
Molecular Weight: 128.13
Product ID: 920207 (Sigma Aldrich)
UNSPSC Code:12191502
[7]
LIGAND
XPhos
(2-Dicyclohexylphosphino-2′,4′,6′-triisopropylbiphenyl)
Molecular Weight: 476.72
Product No.: 638064 (Sigma Aldrich)
CAS No.: 564483-18-7
[8]
ANTIBODY
ZooMAb® antibody
(Example:
Anti-TCF7/TCF1 Antibody, clone 1H9 ZooMAb® Rabbit Monoclonal
(recombinant, expressed in HEK 293 cells)
Product No.: ZRB3134
UNSPSC Code: 12352203)
[9]
Despite the clear advantages, the pharmaceutical industry encounters several hurdles, including technical and process challenges, economic considerations, knowledge and training gaps, organizational inertia, and the perception of ’unproven’ alternatives, in the widespread adoption and scaling up of green chemistry. Kharat et al. (2025) identified nearly24 obstacles hindering a pharmaceutical company’s shift to a circular economy, spanning strategic, operational, and tactical levels [1]. Major challenges included finances, technology, policies, managing stakeholders, and reverse logistics, especially for toxic products. On the other hand, Castiello et al. (2023) argued that the limited adoption of green chemistry approaches in medicinal chemistry is largely due to the prevailing belief that greener methods hinder the rapid and straightforward synthesis of new compounds [44]. Scaling finely tuned lab-scale green processes to industrial levels can be challenging, often necessitating new reactor designs and control systems. Significant upfront investment in new equipment, catalysts, or materials can be a major barrier, especially for smaller companies. Ensuring supply-chain integration presents another challenge: changes in feedstock (e.g., switching to a bio-based solvent or raw material) may necessitate new logistics and certifications. Novel green reagents or biocatalysts may perform less efficiently at larger scales due to factors like mixing, heat transfer, or substrate concentration changes. Furthermore, many biodegradable materials have performance limitations, often exhibiting inferior barrier properties against moisture and oxygen compared to traditional plastics, which is critical for protecting sensitive drugs and ensuring long shelf lives. Adopting and optimizing green processes for commercial viability demands significant time and financial investment. This perception leads to a lack of focus on sustainability in pharmaceutical labs. Moreover, companies often prioritize established reliability, risk management, and immediate shareholder value, making them resistant to changes perceived as disruptive. Even when technically sound, green alternatives are often seen as experimental—especially in tightly regulated industries like pharmaceuticals. This necessitates government support mechanisms (subsidies, carbon pricing, tax incentives) to provide financial incentives for companies to transition to greener practices. Clear regulatory frameworks are also crucial. Standards for ‘green’ products (e.g., ecolabels, Safer Chemical lists) help guide industry and consumers. Updating procurement rules and chemical safety regulations to favor sustainable designs creates market pull. Evaluating sustainability is inherently multidimensional. LCAs, techno-economic analysis (TEA), and toxicological assessments are critical, but consistent frameworks are still evolving. Without standardized metrics, it is hard to quantify trade-offs (e.g., energy vs. water use, or global warming vs. toxicity) and to set regulatory benchmarks. Besides, introducing new chemicals or catalysts may trigger extensive regulatory review (e.g., for toxicity, emissions, or worker safety). Even if a process is ‘greener,’ approval delays can slow deployment. As mentioned above, without clear markets or incentives, firms may be reluctant to invest in unproven methods. This creates a valley of death [45] where early-stage technologies struggle to advance due to a lack of investment. Support across technology readiness levels (TRLs)—from lab-scale research to commercial plants—is crucial to bridge this gap. This stage is characterized by the high costs of pilot platforms, specialized infrastructure, and the demand for highly trained staff, necessitating dedicated support to transition from concept to industrial reality [45]. Embracing green and sustainable chemistry necessitates robust assessment tools to guide investments. These tools are crucial for directing both private and public funds towards companies involved in genuinely sustainable endeavors, thereby distinguishing them from those engaged in greenwashing [46]. Recently, regulatory bodies such as the US EPA and the European Chemicals Agency (ECHA) have been implementing reforms to chemical policy frameworks across various sectors, including the pharmaceutical industry. These reforms focus on increased transparency, accountability, and sustainability in the development, marketing, and disposal of chemicals. Examples include the EPA’s modernization of the Toxic Substances Control Act (TSCA) and the EU’s new Chemicals Strategy for Sustainability (CSS) [47]. Similarly, by 2026, the Chemical Management and Safety Rules (CMSR) are expected to be fully implemented, leading to stricter regulation on plastic usage and increased investment in green chemistry research in India. By the same token, a chemical database, similar to the EU’s Registration, Evaluation, Authorization and Restriction of Chemicals (REACH) system, is expected by 2027 in Brazil, accompanied by stronger incentives for sustainable practices [48]. It is essential to note that the American Chemical Society Green Chemistry Institute Pharmaceutical Roundtable (ACSGCIPR) is actively promoting green chemistry and engineering R&D in the pharmaceutical sector. Their initiatives, such as the Peter J. Dunn Award, CMO Excellence in Green Chemistry Award, and various research grants, merit special mention [49]. Table 4 highlights major pharmaceutical innovations honored with EPA Green Chemistry Awards between 2020 and 2024 [50]. Some key innovations in the pharmaceutical industry, recognized with EPA Green Chemistry Awards (2020–2024). 2024 Greener Synthetic Pathways Merck & Co. Inc. Breaking Barriers in Sustainable Manufacturing of Biologics: The Innovation of a Continuous Manufacturing Automated Process for KEYTRUDA® (pembrolizumab) (an immunotherapy that works with the immune system to help fight certain cancers Innovation: Unlike traditional batch methods, the new process continuously filters protein from cells during production. Efficiency Gains: It yielded much more pembrolizumab per unit volume. Smaller Scale: Enabled use of compact equipment and facilities. Environmental Benefits: Cut down energy use (by 4.5 times) and water consumption (by 4 times), optimizes consumables like filters, and reduces air emissions and pollution. [51] 2022 Greener Reaction Conditions Amgen An improved manufacturing process for LUMAKRAS™ (sotorasib), a novel drug for the treatment of certain non-small cell lung cancers Process Improvements: ○ Fewer manufacturing steps. ○ Removed a waste-heavy purification stage. ○ Introduced recycling for a hazardous material to reduce waste and improve efficiency. Impact: ○ Amgen projected up to 31.7 million pounds less waste annually. ○ The changes also improved yield, reduced costs, boosted throughput, and enhanced sustainability in sotorasib production. [52] 2022 Greener Synthetic Pathways Merck & Company, Inc. Developing a greener way to make LAGEVRIO™ (molnupiravir), an antiviral treatment for COVID-19 Original Issue: The initial five-step molnupiravir synthesis from uridine had a low yield and produced excessive solvent waste. Process Upgrade: Merck improved the synthesis, boosting yield by 1.6× and cutting down waste. The new three-step process (Aspirational Biocatalytic Cascade) uses simple inputs and sets a sustainable model for nucleoside synthesis. Sustainability Advances: ○ Dynamic Crystallization improved efficiency by allowing the product to crystallize as it formed, reducing waste and boosting output. ○ Direct Isolation cut byproducts and enabled water-based crystallization, minimizing solvent and energy use. ○ Second-Gen Route replaced inefficient uridine production with a direct enzyme-driven synthesis from uracil and ribose. [26] 2022 Academic Professor Song Lin (Cornell University) Developing a new, more efficient process using electrochemistry to create large and complicated molecules that are widely used in the pharmaceutical industry Challenge Tackled: Conventional redox reactions in pharma are energy-heavy, metal-dependent, and produce harmful byproducts. Electrochemical Innovation: Prof. Lin’s team introduced a safer electrochemical method for organic synthesis, avoiding harsh chemicals. Efficient Bond Formation: They developed selective reactions to form C–C, C–Si, and Si–Si bonds using cheap, common feedstocks like alkyl halides and chlorosilanes. Catalyst-Free C–H Functionalization: A new electrooxidative reaction allowed direct C–H functionalization without catalysts. Green Electrode Use: The method replaced toxic metal catalysts with affordable carbon or magnesium electrodes. Scalable Design: Their reactor integrated smoothly with existing high-throughput industrial systems. [53] 2021 Greener Reaction Conditions Bristol Myers Squibb Company Five sustainable reagents Diverse Product Accessibility: Bristol Myers developed five compatible reagents that enable access to phosphodiesters, phosphorodithioates, homochiral and racemic phosphorothioates, homochiral phosphonates, and chiral tertiary phosphines. Solid-Phase Synthesis Application: A key innovation was the use of the reagents in solid-phase synthesis, moving away from traditional, less efficient oxidation reactions. Eco-Friendly Impact: The method reduced reagent and solvent use, improving stability and environmental outcomes. Improved Stability & Lower Costs: Air- and moisture-tolerant reagents eliminated the need for specialized storage, cutting costs. Green Sourcing: Derived from limonene, a citrus waste byproduct, made the approach more sustainable. High Flexibility: Applicable to multiple systems, the reagents could speed up the development of catalysts and probes for biomedical research [54] 2021 Greener Synthetic Pathways Merck & Co. Green and sustainable commercial manufacturing process for gefapixant citrate Initial Manufacturing Challenge: Gefapixant, targeting the P2X3 (purinergic) receptor, showed strong results in reducing chronic cough in Phase 3 trials. The original manufacturing process was inefficient, with a high process mass intensity (PMI) of 366. Sustainable Overhaul: Merck redesigned the synthesis, lowering PMI to 88 and greatly improving sustainability. Key Innovations: Included streamlined methoxyphenol and diaminopyrimidine synthesis (using a hybrid flow-batch process), direct sulfonamide formation, and a reliable salt metathesis method. Major Gains: The process increased yields, cut raw material costs sixfold, and replaced toxic reagents for safer production. Environmental Benefits: Reduced CO2 and CO emissions through energy-efficient practices. SMART PMI Tool: Guided development by setting sustainability benchmarks for continuous process improvement. [55] 2020 Greener Reaction Conditions Merck & Co. A green solution to the ProTide synthesis problem: design of a multifunctional catalyst that stereoselectively assembles prodrugs Issue being addressed: ProTide drugs improve the cellular uptake of nucleoside-based antivirals and anticancer drugs. Traditional synthesis methods are complex, suffer from poor chemoselectivity, require chiral agents, and rely on costly, hazardous, wasteful reagents. Merck’s Innovation: A novel catalyst enabled the efficient, two-step synthesis of uprifosbuvir with high purity. Catalyst Mechanism: Discovered via high-throughput screening, the catalyst operates with a unique second-order mechanism and forms a dimer, which is easy to produce with low environmental impact. Sustainability Improvements: Swapped dichloromethane with 1,3-dioxolane and achieved major gains in PMI, energy use, and water conservation. Broader Utility: The catalyst also enhances the synthesis of other ProTides. Its use was reported for the synthesis of over 150 kg of uprifosbuvir for clinical trials, showing promise for sustainable ProTide manufacturing. [56]Award Year
Award Category
Company/Academic Name
SummaryHighlights [Reference]
The attention is drawn to specific domains where future research endeavors would be particularly critical: [a] Developing next-generation green solvents and reaction media in the context of the conventionally used hazardous solvents is important. Additionally, there is a strong emphasis on scaling up the production and use of bio-derived solvents and feedstocks from renewable biomass. Readers are suggested to peruse Sangiorgi et al. (2025)’s discussion on ionic liquids (ILs) and deep eutectic solvents (DESs), including their newer, naturally derived forms (Bio-ILs and NaDESs) and the therapeutic subcategories (API-ILs and TheDESs) [57]. Attributes such as stability, low cost, and biodegradability allow Natural Deep Eutectic Solvents (NaDES) to replace environmentally and health-hazardous substances. They often perform as well as or better than traditional methods. They can act as solvents, catalysts, and reagents in synthesis, and provide excellent yields in extraction (Figure 4). As excipients, NaDES boost the solubility and stability of active ingredients. They are also valuable in nanotechnology for monitoring particle size and stabilization, and in biotechnology for enzyme stabilization and solubilization of organic substrates. Future research should focus on tuning their viscosity, improving recovery/recycling, refining predictive models of their behaviours, and further investigating toxicity for broader adoption [58]. Additionally, developing solvent-free or solid-state reaction methodologies is viewed as a major thrust area. [b] Concerted endeavors of biotechnologists and chemists can assist in a) advancing sustainable pharmaceutical synthesis through novel enzyme discovery [59] and engineering [60] to achieve highly efficient and selective reactions under milder conditions and b) developing cascade biocatalysis [61] for one-pot, complex molecule synthesis with minimal waste, and integrating biocatalysis with flow chemistry for continuous, highly efficient biotransformation platforms. [c] Advanced pharmaceutical production may be facilitated through novel reactor designs for effective, low-waste reactions. The importance of fully integrated, end-to-end continuous manufacturing lines that combine synthesis, purification, and formulation for enhanced quality and reduced environmental impact must be recognized. Furthermore, research could explore hybrid systems that synergize different intensification techniques (e.g., flow chemistry with sonochemistry) to unlock greener reaction pathways. By contrast, 3D printing combined with bioinks enables on-demand drug production, reducing reliance on mass manufacturing and storage, thereby reducing cost [62]. However, high initial costs, scalability issues, limited materials, and regulatory and technical challenges must be addressed. [d] While innovations in transport, logistics, and cold chains can reduce Scope 3 emissions, integrating AI into the pharmaceutical industry is profoundly impacting the sustainability endeavors in the pharma sector. Beyond guiding solvent selection and accelerating catalyst discovery, AI enables predictive maintenance, energy management, quality control, lean manufacturing, and pharmaceutical wastewater treatment optimization (discussed in a subsequent section), all contributing to a greener pharmaceutical industry. Pharmaceutical companies are leveraging AI to accelerate innovation in several key areas, including drug discovery, digital therapeutics, big data analytics, the Internet of Things (IoT) for clinical trials, cloud computing, and blockchain technology. In this context, Roche’s navify® Digital Pathology platform now integrates Ibex AI algorithms, powered by Amazon Web Services (AWS), to assist clinicians in diagnosing breast and prostate cancer. This creates a scalable, sustainable digital pathology ecosystem [63]. Similarly, Bayer and Google Cloud are partnering to develop AI solutions for radiology, aiming to improve diagnostic accuracy, ease clinician workload, and reduce burnout, thus enhancing patient care [64]. Novartis entered a collaboration with Generate: Biomedicines in 2024 to utilize its generative AI platform for developing protein-based therapies across various unspecified disease areas, in a deal valued at up to $1 billion [65]. Pertinently, Huanbutta et al. (2024) projected that AI can support every stage of a drug’s lifecycle—accelerating discovery, optimizing formulation and manufacturing, assisting regulatory affairs, streamlining supply chains to minimize emissions and waste, and improving post-market surveillance through greater efficiency, accuracy, and data-driven decision-making [66]. Notably, drug discovery faces a massive challenge: sifting through an astronomical number of potential molecules. Machine learning (ML) techniques, including graph neural networks (GNNs) and transfer learning [67] can assist by predicting molecular properties, streamlining the search, and focusing on promising candidates to accelerate drug development. Researchers can exploit various hybrid computational approaches combining density functional theory (DFT), cheminformatics, and ML to accurately predict site-selective functionalization of complex pharmaceutical intermediates [68]. AI significantly accelerates drug discovery by analyzing vast datasets to predict drug-target interactions and optimizing clinical trials, ultimately reducing time, cost, and improving affordability [69]. Tools like DeepChem, DeepTox HitDexter3, FAME 3, and NP-Scout (to name a few) are being effectively harnessed. Besides ML and deep learning (DL), AI-integrated digital twins (DTs), and AI-augmented organoid-on-a-chip (OoC) systems provide high-fidelity simulations of complex biological processes. AI significantly enhances the predictive accuracy and scalability of DTs and OoC models [70,71], addressing inherent limitations. These innovations enable robust, early-phase assessments of drug safety and efficacy, promoting cost-efficiency, ethical compliance (e.g., use of Tox-GAN, a deep generative adversarial network framework for generating toxicogenomic profiles without animal experimentation [72]), and adherence to the 3Rs principle (Replace, Reduce, Refine), thereby streamlining and accelerating the drug development pipeline. Interestingly, a recent analysis of clinical pipelines of AI-native biotech companies shows Phase I success rates of 80–90% for AI-discovered molecules, surpassing historical averages. Phase II success rates are around 40%, similar to industry averages [73]. These findings suggest AI is effective at designing drug-like molecules, with early evidence supporting its clinical potential. AI can also optimize drug design and 3D-printing-based manufacturing by improving dosage forms, printability, and drug release mechanisms, as well as pave the way towards personalized medicine [62]. However, the continued use of AI in drug discovery and development presents ethical and regulatory challenges, particularly regarding algorithm transparency, patient data privacy, potential model biases, and the fair and safe application of the technology [74,75]. Furthermore, to genuinely label a project “AI for Sustainability,” it is crucial to not only use AI for sustainable goals but also to minimize the environmental impact of its development (as during its training) and operation [76]. Nevertheless, to illustrate the potency of AI in accelerating pharmaceutical research, let me cite a recent study by Liu et al. (2025) [77]. Endometriosis impacts more than 190 million women worldwide, underscoring a critical need for effective treatments. Leveraging PandaOmics- an AI-driven platform, the researchers identified two previously unreported therapeutic targets: guanylate-binding protein 2 (GBP2) and hematopoietic cell kinase (HCK) (Figure 5). Additionally, integrin beta 2 (ITGB2) was recognized as a promising drug repurposing target. All three targets (GBP2, HCK, and ITGB2) are upregulated in human endometriotic tissue. Preclinical studies demonstrated that silencing GBP2 and HCK significantly decreased cell viability and proliferation while increasing endometrial stromal cell apoptosis. In mouse models of endometriosis, targeting GBP2 and HCK notably decreased lesion weight and volume. Besides establishing GBP2 and HCK as novel, druggable targets, the study unmasked effective suppression of lesion growth by Lifitegrast, an existing ITGB2 antagonist, thereby presenting it as a promising new treatment avenue. These findings demonstrate AI’s potential in accelerating therapeutic discovery and drug repurposing. On the other hand, the pertinence of pharmaceutical wastewater treatment has been highlighted previously. Exacerbated by the issues of endocrine-disrupting chemicals and antimicrobial-resistant genes [40], traditional pharmaceutical wastewater treatment systems often face significant challenges of membrane fouling and energy-intensive operations. Moreover, the complexity of biological and chemical processes involved makes conventional modelling techniques inadequate for precise control and prediction. Recently, Ganthavee and Trzcinski [78] proposed that integrating AI and ML is a prerequisite to optimizing operational efficiency, enhancing energy management, and improving pollutant removal while addressing critical limitations of conventional pharmaceutical wastewater treatment approaches. A variety of AI and ML techniques including artificial neural networks (ANN), support vector machines (SVM), adaptive neuro-fuzzy inference systems (ANFIS), long short-term memory (LSTM) networks, etc., can be applied across several functional areas: for water quality assessment (predicting chemical oxygen demand (COD), biochemical oxygen demand (BOD), total suspended solids (TSS), and total dissolved solids (TDS)), membrane fouling prediction, chlorination optimization, and modeling photocatalytic degradation processes [79,80,81,82,83]. Figure 6 presents different AI and ML approaches and their suitability for addressing specific challenges in pharmaceutical wastewater treatment systems. However, high computational requirements, challenges in hardware-software compatibility, lack of data standardization, and economic infeasibility for smaller industries are key barriers. Future research in pharmaceutical wastewater treatment systems could focus on combining AI/ML with: internet of things (IoT) devices for real-time monitoring of treatment processes, blockchain for secure data logging and efficient energy grid management, and cyber-physical systems to enable autonomous process control [78]. When integrated with renewable energy sources such as solar and wind, these systems are expected to facilitate the development of highly energy-efficient and intelligent pharmaceutical wastewater treatment solutions. [e] Adopting circular economy principles in the pharmaceutical industry also involves other thrust areas: (a) designing sustainable packaging that is biodegradable, recyclable, or reusable, (b) conducting comprehensive LCAs to identify and address environmental impacts from a product’s inception to disposal, and (c) pharmaceutical waste valorization. In this regard, a recent study was conducted in line with green chemistry for recovering APIs from unused or expired finished pharmaceutical products (FPP) (ibuprofen, lamotrigine, phenobarbital, acetaminophen, and carbamazepine) [84]. Using thermodynamic modeling to efficiently screen Food and Drug Administration (FDA)-approved solvents and a combination of extraction, filtration, and crystallization, the researchers reported high recovery rates (47–81%) and near 100% purity for APIs. These purified APIs can then be reused in new formulations or as starting materials, offering significant environmental and economic benefits. [f] Partnerships between academia, tech firms, and pharma are vital for scalable green innovations. Implementation of academic innovations and scaling of sustainable chemistry in the pharmaceutical industry require trained personnel and cross-sector knowledge. Chemists and engineers need training in green design principles, as well as familiarity with regulatory, economic, and life-cycle concepts. Strengthening education and fostering collaborations between academia and industry can help build the required talent pool. [g] Accelerating the adoption of green practices in the pharmaceutical industry demands (a) establishing harmonized global metrics and standards for green chemistry and engineering, and (b) developing effective policies and incentives that encourage companies to invest in these sustainable technologies. As I reach the closure of this write up, the readers are recommended to peruse the recent (a) perspective by Martinengo et al. (2024), wherein they have critically examined how the entire set of 12 principles of green chemistry can systematically guide drug discovery and production within the context of vector-borne parasitic diseases (VBPD) [85]; (b) highlights of a few select green chemistry publications relevant to the pharmaceutical industry, compiled by Ashley et al. (2025) [86].
The pharmaceutical industry stands at a critical juncture, tasked with both safeguarding global health and drastically reducing its environmental impact. As evident from the discussion, integrating green chemistry and engineering principles is not merely an aspirational goal but a fundamental necessity for achieving true sustainability across its complex value chain. Innovations in areas such as next-generation green solvents, advanced biocatalysis, and intensified continuous manufacturing processes can systematically address the industry’s historical reliance on hazardous materials, high energy consumption, and significant waste generation. Furthermore, the growing application of AI and ML promises to revolutionize drug discovery, process optimization, and supply chain management, offering unprecedented opportunities for efficiency and environmental stewardship. The shift towards circular economy principles, embracing waste valorization and sustainable packaging, is expected to bolster this holistic vision, transforming liabilities into valuable resources. Embracing green chemistry innovation offers the pharmaceutical industry a robust pathway to enhance environmental stewardship, improve worker and public health, and realize substantial economic benefits. By proactively designing for prevention, efficiency, and circularity, companies can reduce operational costs, gain a competitive edge, and strengthen their brand value in an increasingly sustainability-conscious market. Overcoming the inertia of established practices, the inherent complexities of drug development, and the need for significant upfront investment in new technologies remain key challenges. Regulatory frameworks, while increasingly supportive, must continue to evolve to provide clear, harmonized guidelines and robust incentives that truly accelerate the adoption of green practices. Ongoing interdisciplinary collaboration among academia, industry, and government bodies is essential to advance research, development, and the scalable implementation of these transformative technologies. This paradigm shift moves beyond mere compliance, embedding environmental responsibility and social equity into the very core of pharmaceutical production. The future of medicine hinges not only on the efficacy of its treatments but also on the sustainability of its creation, ensuring a healthier planet for generations to come. The pharmaceutical industry can and should become an eco-steward—and the transition is already underway. However, this transformation will require not only technological innovation but also bold regulatory reform, investment, and a cultural shift across the industry.
| 2-MeTHF | 2-Methyltetrahydrofuran |
| ACSGCIPR | American Chemical Society Green Chemistry Institute Pharmaceutical Roundtable |
| AE | Atom Economy |
| AI | Artificial Intelligence |
| AMR | Antimicrobial Resistance |
| ANFIS | Adaptive Neuro-Fuzzy Inference Systems |
| ANN | Artificial Neural Network |
| API | Active Pharmaceutical Ingredients |
| AWS | Amazon Web Services |
| BOD | Biochemical Oxygen Demand |
| CE | Carbon Economy |
| CIP | Ciprofloxacin |
| CMSR | Chemical Management and Safety Rules |
| CNSL | Cashew Nut Shell Liquid |
| COD | Chemical Oxygen Demand |
| COVID-19 | Corona Virus Disease-19 |
| CSS | Chemicals Strategy for Sustainability |
| CV | Convergence |
| CY | Chemical Yield |
| DCM | Dichloromethane |
| DES | Deep Eutectic Solvents |
| DFT | Density Functional Theory |
| DL | Deep Learning |
| DMF | Dimethylformamide |
| DT | Digital Twins |
| E factor | Environmental Factor |
| ECHA | European Chemicals Agency |
| ENR | Enrofloxacin |
| ESG | Environmental, Social, and Governance |
| FPP | Finished Pharmaceutical Products |
| GBP2 | Guanylate-binding Protein |
| GNN | Graph Neural Networks |
| GVL | γ-Valerolactone |
| HCK | Hematopoietic Cell Kinase |
| IL | Ionic Liquid |
| IoT | Internet of Things |
| ITGB2 | Integrin beta 2 |
| LCA | Life Cycle Assessment |
| MCR | Multicomponent Reactions |
| LSTM | Long Short-Term Memory |
| ML | Machine Learning |
| MPNN | Message-Passing Neural Network |
| NaDES | Natural Deep Eutectic Solvents |
| NMP | N-methyl-2-pyrrolidone |
| OoC | Organoid on a Chip |
| OXO | Oxalate Oxidase |
| PAT | Process Analytical Technology |
| PBT | Persistence, Bioaccumulation, and Toxicity |
| PMI | Process Mass Intensity |
| PROTACs | PROteolysis TArgeting Chimeras |
| REACH | Registration, Evaluation, Authorization and Restriction of Chemicals |
| SI | Solvent Intensity |
| SVM | Support Vector Machines |
| TDS | Total Dissolved Solids |
| TRLs | Technology Readiness Levels |
| TSCA | Toxic Substances Control Act |
| TSS | Total Suspended Solids |
| UNSDGs | United Nations Sustainable Development Goals |
| UPO | Unspecific Peroxygenase |
| US EPA | United States Environmental Protection Agency |
| VBPD | Vector-Borne Parasitic Diseases |
| WWI | Waste Water Intensity |
| YD | Yield |
The sole author (R.K.) conceived and designed the review, performed the literature search and data analysis, synthesized the findings, and wrote the entire manuscript. The use of specific AI tools has been acknowledged; however, the paper was drafted using purely human-synthesized knowledge, and the author takes full responsibility for the content.
The author declares no conflicts of interest.
The study did not receive any external funding and was conducted using only institutional resources.
I dedicate this article to late Prof. Mihir Kanti Chaudhari (former Vice Chancellor, Tezpur University, India) and Prof. Niranjan Karak for inspiring me to delve into the fascinating contact sport of life science, material science and sustainable chemistry. Prof. Suvendra Kumar Ray, Anand Pratap Singh, and Anurag Jayswal (Tezpur University) are thankfully acknowledged for their encouragement and support. During the preparation of this work, AvidNote AI and Scholar GPT were used to suggest keywords/ phrases for literature search. These were used for retrieving SCOPUS and Google Scholar indexed literature. Google Gemini 2.5 Flash was used for language polishing and generating the image for the graphical abstract. The ‘AI’ panel within the graphical abstract was generated online through www.freepik.com. The various figures have been reproduced under the provisions of Creative Commons License.
[1] Kharat, M.G.; Kapoor, S.; Parhi, S.; Kharat, M.G.; Pandey, S. Operationalizing Sustainability in Pharmaceuticals: Green Supply Chain Metrics for Circular Economy. Sustain. Futures 2025, 9, 100413. [CrossRef]
[2] Kar, S.; Sanderson, H.; Roy, K.; Benfenati, E.; Leszczynski, J. Green Chemistry in the Synthesis of Pharmaceuticals. Chem. Rev. 2021, 1223, 3637–3710. [CrossRef] [PubMed]
[3] Lozano, F.J.; Lozano, R.; Freire, P.; Jiménez-Gonzalez, C.; Sakao, T.; Ortiz, M.G.; Trianni, A.; Carpenter, A.; Viveros, T. New Perspectives for Green and Sustainable Chemistry and Engineering: Approaches from Sustainable Resource and Energy Use, Management, and Transformation. J. Clean. Prod. 2018, 172, 227–232. [CrossRef]
[4] Mishra, M.; Sharma, M.; Dubey, R.; Kumari, P.; Ranjan, V.; Pandey, J. Green Synthesis Interventions of Pharmaceutical Industries for Sustainable Development. Curr. Res. Green Sustain. Chem. 2021, 4, 100174. [CrossRef]
[5] Research and Markets. Emerging Green Chemistry Market Ushers in a New Era of Sustainable Pharmaceutical Manufacturing; GLOBE NEWSWIRE: December 17, 2024. Available online: https://www.globenewswire.com/news-release/2024/12/17/2998039/28124/en/Emerging-Green-Chemistry-Market-Ushers-in-a-New-Era-of-Sustainable-Pharmaceutical-Manufacturing.html (accessed on 25 May 2025).
[6] Wollensack, L.; Budzinski, K.; Backmann, J. Defossilization of Pharmaceutical Manufacturing. Curr. Opin. Green Sustain. Chem. 2022, 33, 100586. [CrossRef]
[7] Merck KGaA. Cyrene™ γ-Valerolactone Blend (Product No. 920207), Sigma-Aldrich. Available online: https://www.sigmaaldrich.com/IN/en/product/sial/920207 (accessed on 16 July 2025).
[8] Merck KGaA. 1-Ethyl-3-methylimidazolium Acetate (Product No. 638064), Sigma-Aldrich. Available online: https://www.sigmaaldrich.com/IN/en/product/aldrich/638064 (accessed on 16 July 2025).
[9] Merck KGaA. Zinc Bromide Solution (Product No. ZRB3134), Sigma-Aldrich. Available online: https://www.sigmaaldrich.com/IN/en/product/sigma/zrb3134 (accessed on 16 July 2025).
[10] Rossi, M.; Martinengo, B.; Diamanti, E.; Salerno, A.; Rizzardi, N.; Fato, R.; Bergamini, C.; de Oliveira, A.S.; Ferreira, T.D.A.M.; Holanda, C.A.; et al. Benign-by-Design SAHA Analogues for Human and Animal Vector-borne Parasitic Diseases. ACS Med. Chem. Lett. 2024, 15, 1506–1515. [CrossRef] [PubMed]
[11] Martinengo, B.; Diamanti, E.; Uliassi, E.; Bolognesi, M.L. Medicinal Chemistry: A Key Driver in Achieving the Global Sustainable Development Goals. J. Med. Chem. 2025, 68, 6916–6931. [CrossRef]
[12] Nunes Lemes, L.F.; Magoulas, G.E.; Souza de Oliveira, A.; Barrias, E.; de Camargo Nascente, L.; Granado, R.; Teixeira de Macedo Silva, S.; Assimomytis, N.; de Souza, W.; Bolognesi, M.L.; et al. Valorizing Constituents of Cashew Nut Shell Liquid Toward the Sustainable Development of New Drugs Against Chagas Disease. ACS Infect. Dis. 2023, 9, 1334–1345. [CrossRef]
[13] Lopez-Mercado, S.; Enríquez, C.; Valderrama, J.A.; Pino-Rios, R.; Ruiz-Vásquez, L.; Ruiz Mesia, L.; Vargas-Arana, G.; Buc Calderon, P.; Benites, J. Exploring the Antibacterial and Antiparasitic Activity of Phenylaminonaphthoquinones—Green Synthesis, Biological Evaluation and Computational Study. Int. J. Mol. Sci. 2024, 25, 10670. [CrossRef]
[14] de Jesus, P. AI and Green Chemistry: Sustainable Solvents & VOC Alternatives. ChemCopilot Blog. Available online: https://www.chemcopilot.com/blog/green-chemistry-solvents-and-vocs (accessed on 25 May 2025).
[15] Winterton, N. The Green Solvent: A Critical Perspective. Clean Technol. Environ. Policy 2021, 23, 2499–2522. [CrossRef]
[16] Srivastava, A.; Kaur, H.; Pahuja, H.; Rangarajan, T.M.; Varma, R.S.; Pasricha, S. Optimal Exploitation of Supported Heterogenized Pd Nanoparticles for CC Cross-Coupling Reactions. Coord. Chem. Rev. 2024, 507, 215763. [CrossRef]
[17] Joannou, M.V.; Goldfogel, M.J.; Simmons, E.M.; Wisniewski, S.R. Advancing Base Metal Catalysis: Development and Execution of a Ni-Catalyzed Borylation/Pd-Catalyzed Suzuki Telescoped Process. Org. Process Res. Dev. 2025, 29, 536–544. [CrossRef]
[18] Weis, E.; Johansson, M.; Korsgren, P.; Martín-Matute, B.; Johansson, M.J. Merging Directed C–H Activations with High-Throughput Experimentation: Development of Iridium-Catalyzed C–H Aminations Applicable to Late-Stage Functionalization. JACS Au 2022, 2, 906–916. [CrossRef]
[19] Guillemard, L.; Ackermann, L.; Johansson, M.J. Late-Stage Meta-C–H Alkylation of Pharmaceuticals to Modulate Biological Properties and Expedite Molecular Optimisation in a Single Step. Nat. Commun. 2024, 15, 3349. [CrossRef]
[20] Antermite, D.; Friis, S.D.; Johansson, J.R.; Putra, O.D.; Ackermann, L.; Johansson, M.J. Late-Stage Synthesis of Heterobifunctional Molecules for PROTAC Applications via Ruthenium-Catalysed C‒H Amidation. Nat. Commun. 2023, 14, 8222. [CrossRef]
[21] Kumar, P.; Singh, J. Exploring Enzyme Biotechnology’s Role in Green Chemistry and Advancements in Pharmaceutical Technologies. In Enzyme Biotechnology for Environmental Sustainability; Dahiya, P.; Singh, J.; Kumar, A., Eds.; Academic Press: Cambridge, MA, USA, 2024; pp. 465–495. [CrossRef]
[22] Kim, S.; Ga, S.; Bae, H.; Sluyter, R.; Konstantinov, K.; Shrestha, L.K.; Kim, Y.H.; Kim, J.H.; Ariga, K. Multidisciplinary Approaches for Enzyme Biocatalysis in Pharmaceuticals: Protein Engineering, Computational Biology, and Nanoarchitectonics. EES Catal. 2024, 2, 14–48. [CrossRef]
[23] Romero, E.; Johansson, M.J.; Cartwright, J.; Grogan, G.; Hayes, M.A. Oxalate Oxidase for In Situ H2O2-Generation in Unspecific Peroxygenase-Catalysed Drug Oxy-Functionalizations. Angew. Chem. 2022, 61, e202207831. [CrossRef] [PubMed]
[24] Siedentop, R.; Rosenthal, K. Industrially Relevant Enzyme Cascades for Drug Synthesis and Their Ecological Assessment. Int. J. Mol. Sci. 2022, 23, 3605. [CrossRef] [PubMed]
[25] Becker, M.; Nowak, I.; Hildebrand, K.; Lütz, S.; Rosenthal, K. Development of a Multi-Enzyme Cascade for 2′,3′-cGAMP Synthesis from Nucleosides. Catal. Sci. Technol. 2024, 14, 3335–3345. [CrossRef]
[26] U.S. Environmental Protection Agency. Green Chemistry Challenge: 2022 Greener Synthetic Pathways Award. Available online: https://www.epa.gov/greenchemistry/green-chemistry-challenge-2022-greener-synthetic-pathways-award (accessed on 25 May 2025).
[27] Ahmad, S.; Jaiswal, R.; Yadav, R.; Verma, S. Recent Advances in Green Chemistry Approaches for Pharmaceutical Synthesis. Sustain. Chem. One World 2024, 4, 100029. [CrossRef]
[28] Cravotto, G. Reshaping Chemical Manufacturing Towards Green Process Intensification: Recent Findings and Perspectives. Processes 2025, 13, 459. [CrossRef]
[29] Caldora, H.P.; Zhang, Z.; Tilby, M.J.; Turner, O.; Leonori, D. Dual Photochemical H-Atom Transfer and Cobalt Catalysis for the Desaturative Synthesis of Phenols from Cyclohexanones. Angew. Chem. Int. Ed. 2023, 62, e202301656. [CrossRef]
[30] Gutiérrez-González, A.; Karlsson, S.; Leonori, D.; Plesniak, M.P. Mild Strategy for the Preparation of Alkyl Sulfonyl Fluorides from Alkyl Bromides and Alcohols Using Photoredox Catalysis and Flow Chemistry. Org. Lett. 2024, 26, 3972–3976. [CrossRef]
[31] Moschetta, E.G.; Cook, G.C.; Edwards, L.J.; Ischay, M.A.; Lei, Z.; Buono, F.; Miyake, N. Photochemistry in Pharmaceutical Development: A Survey of Strategies and Approaches to Industry-Wide Implementation. Org. Process Res. Dev. 2024, 28, 831–846. [CrossRef]
[32] Ince, M.C.; Benyahia, B.; Vilé, G. Sustainability and Techno-Economic Assessment of Batch and Flow Chemistry in Seven Industrial Pharmaceutical Processes. ACS Sustain. Chem. Eng. 2025, 13, 2864–2874. [CrossRef]
[33] Borovika, A.; Albrecht, J.; Li, J.; Wells, A.S.; Briddell, C.; Dillon, B.R.; Diorazio, L.J.; Gage, J.R.; Gallou, F.; Koenig, S.G.; et al. The PMI Predictor App to Enable Green-by-Design Chemical Synthesis. Nat. Sustain. 2019, 2, 1034–1040. [CrossRef]
[34] ACS Green Chemistry Institute Pharmaceutical Roundtable. PMI Prediction Calculator. Available online: https://acsgcipr-predictpmi.shinyapps.io/pmi_calculator/ (accessed on 26 May 2025).
[35] Roschangar, F.; Li, J.; Zhou, Y.; Aelterman, W.; Borovika, A.; Colberg, J.; Dickson, D.P.; Gallou, F.; Hayler, J.D.; Koenig, S.G.; et al. Improved iGAL 2.0 Metric Empowers Pharmaceutical Scientists to Make Meaningful Contributions to United Nations Sustainable Development Goal 12. ACS Sustain. Chem. Eng. 2021, 10, 5148–5162. [CrossRef]
[36] ACS Green Chemistry Institute Pharmaceutical Roundtable. iGAL 2.0 Scorecard Calculator. Available online: https://acsgcipr.org/tools/igal-2-0-scorecard-calculator/ (accessed on 25 May 2025).
[37] Piffoux, M.; Le Tellier, A.; Taillemite, Z.; Ducrot, C.; Taillemite, S. Carbon Footprint of Oral Medicines Using Hybrid Life Cycle Assessment. J. Clean. Prod. 2024, 475, 143576. [CrossRef]
[38] Kong, W.; Lv, B.; Yang, S.; Shen, H.; Jing, G.; Zhou, Z. Case Study on Environmental Safety and Sustainability of Pharmaceutical Production Based on Life Cycle Assessment of Enrofloxacin. J. Environ. Chem. Eng. 2021, 9, 105734. [CrossRef]
[39] Samrot, A.V.; Wilson, S.; Sanjay Preeth, R.S.; Prakash, P.; Sathiyasree, M.; Saigeetha, S.; Shobana, N.; Pachiyappan, S.; Rajesh, V.V. Sources of Antibiotic Contamination in Wastewater and Approaches to Their Removal—An Overview. Sustainability 2023, 15, 12639. [CrossRef]
[40] Rayan, R.A. Pharmaceutical Effluent Evokes Superbugs in the Environment: A Call to Action. Biosaf. Health 2023, 5, 363–371. [CrossRef]
[41] Evangelista, D.; Nelson, E.; Skyner, R.; Tehan, B.; Bernetti, M.; Roberti, M.; Bolognesi, M.L.; Bottegoni, G. Application of Deep Learning to Predict the Persistence, Bioaccumulation, and Toxicity of Pharmaceuticals. J. Chem. Inf. Model. 2025, 65, 3248–3261. [CrossRef]
[42] Leder, C.; Suk, M.; Lorenz, S.; Rastogi, T.; Peifer, C.; Kietzmann, M.; Jonas, D.; Buck, M.; Pahl, A.; Kümmerer, K. Reducing Environmental Pollution by Antibiotics Through Design for Environmental Degradation. ACS Sustain. Chem. Eng. 2021, 9, 9358–9368. [CrossRef]
[43] Espinosa, A.; Rascol, E.; Flos, M.A.; Skarbek, C.; Lieben, P.; Bannerman, E.; Martinez, A.D.; Pethe, S.; Benoit, P.; Nélieu, S.; et al. Re-Designing Environmentally Persistent Pharmaceutical Pollutant Through Programmed Inactivation: The Case of Methotrexate. Chemosphere 2022, 306, 135616. [CrossRef]
[44] Castiello, C.; Junghanns, P.; Mergel, A.; Jacob, C.; Ducho, C.; Valente, S.; Rotili, D.; Fioravanti, R.; Zwergel, C.; Mai, A. GreenMedChem: The Challenge in the Next Decade Toward Eco-Friendly Compounds and Processes in Drug Design. Green Chem. 2023, 25, 2109–2169. [CrossRef]
[45] Chatel, G. Scaling-Up Green Chemistry: Bridging Innovation and Industrial Applications. Chem. Commun. 2025, 61, 9558–9568. [CrossRef]
[46] Yilan, G.; Cordella, M.; Morone, P. Evaluating and Managing the Sustainability of Investments in Green and Sustainable Chemistry: An Overview of Sustainable Finance Approaches and Tools. Curr. Opin. Green Sustain. Chem. 2022, 36, 100635. [CrossRef]
[47] de Jesus, P. Regulatory Trends in Green Chemistry: EPA, REACH, and the EU’s New Chemical Policies. ChemCopilot Blog. Available online: https://www.chemcopilot.com/blog/regulatory-trends-in-green-chemistry-epa-reach-and-the-eus-new-chemical-policies (accessed on 25 May 2025).
[48] de Jesus, P. Green Chemistry Regulations in India & Brazil. ChemCopilot Blog. Available online: https://www.chemcopilot.com/blog/green-chemistry-regulations-in-india-brazil (accessed on 25 May 2025).
[49] American Chemical Society. Green Chemistry Funding & Awards. Available online: https://www.acs.org/funding/green-chemistry.html (accessed on 26 May 2025).
[50] U.S. Environmental Protection Agency. Green Chemistry Challenge Winners. Available online: https://www.epa.gov/greenchemistry/green-chemistry-challenge-winners (accessed on 20 July 2025).
[51] U.S. Environmental Protection Agency. Green Chemistry Challenge: 2024 Greener Synthetic Pathways Award. Available online: https://www.epa.gov/greenchemistry/green-chemistry-challenge-2024-greener-synthetic-pathways-award (accessed on 20 July 2025).
[52] U.S. Environmental Protection Agency. Green Chemistry Challenge: 2022 Greener Reaction Conditions Award. Available online: https://www.epa.gov/greenchemistry/green-chemistry-challenge-2022-greener-reaction-conditions-award (accessed on 20 July 2025).
[53] U.S. Environmental Protection Agency. Green Chemistry Challenge: 2022 Academic Award. Available online: https://www.epa.gov/greenchemistry/green-chemistry-challenge-2022-academic-award (accessed on 20 July 2025).
[54] U.S. Environmental Protection Agency. Green Chemistry Challenge: 2021 Greener Reaction Conditions Award. Available online: https://www.epa.gov/greenchemistry/green-chemistry-challenge-2021-greener-reaction-conditions-award (accessed on 20 July 2025).
[55] U.S. Environmental Protection Agency. Green Chemistry Challenge: 2021 Greener Synthetic Pathways Award. Available online: https://www.epa.gov/greenchemistry/green-chemistry-challenge-2021-greener-synthetic-pathways-award (accessed on 20 July 2025).
[56] U.S. Environmental Protection Agency. Green Chemistry Challenge: 2020 Greener Reaction Conditions Award. Available online: https://www.epa.gov/greenchemistry/green-chemistry-challenge-2020-greener-reaction-conditions-award (accessed on 20 July 2025).
[57] Sangiorgi, S.; Albertini, B.; Bertoni, S.; Passerini, N. An Overview on the Role of Ionic Liquids and Deep Eutectic Solvents in Oral Pharmaceuticals. Pharmaceutics 2025, 17, 300. [CrossRef]
[58] Chevé-Kools, E.; Choi, Y.H.; Roullier, C.; Ruprich-Robert, G.; Grougnet, R.; Chapeland-Leclerc, F.; Hollmann, F. Natural Deep Eutectic Solvents (NaDES): Green Solvents for Pharmaceutical Applications and Beyond. Green Chem. 2025, 27, 8360. [CrossRef] [PubMed]
[59] Yavari-Bafghi, M.; Amoozegar, M.A. Pharmaceutical Applications of Halophilic Enzymes. Heliyon 2025, 11, e42754. [CrossRef]
[60] Reetz, M.T.; Qu, G.; Sun, Z. Engineered Enzymes for the Synthesis of Pharmaceuticals and Other High-Value Products. Nat. Synth. 2024, 3, 19–32. [CrossRef]
[61] Naik, K.; Dheeraj, S.; Jeevani, K.; Saravanan, T. Evaluating Multienzyme Cascade Routes for Pharmaceutically Relevant Molecules. Eur. J. Org. Chem. 2024, 27, e202301236. [CrossRef]
[62] Bernatoniene, J.; Stabrauskiene, J.; Kazlauskaite, J.A.; Bernatonyte, U.; Kopustinskiene, D.M. The Future of Medicine: How 3D Printing is Transforming Pharmaceuticals. Pharmaceutics 2025, 17, 390. [CrossRef] [PubMed]
[63] Roche Diagnostics. Roche Collaborates with Ibex and Amazon Web Services to Accelerate AI-Enabled Digital Pathology Solutions. Available online: https://diagnostics.roche.com/global/en/news-listing/2023/roche-collaborates-with-ibex-and-amazon-web-services-to-accelera.html#:~:text=,advancing%20personalised%20healthcare%20through%20innovation (accessed on 19 July 2025).
[64] Calantic / Bayer & Google Cloud. Bayer and Google Cloud Partnership. Available online: https://www.calantic.com/en-us/bayer-and-google-cloud#:~:text=Bayer%20and%20Google%20Cloud%20have,and%20reduced%20burnout%20among%20clinicians (accessed on 19 July 2025).
[65] Philippidis, A. Novartis, Generate:Biomedicines Sign Up-to-$1B AI Protein Drug Collaboration. GEN. Available online: https://www.genengnews.com/topics/artificial-intelligence/novartis-generatebiomedicines-sign-up-to-1b-ai-protein-drug-collaboration/#:~:text=Novartis%20will%20apply%20Generate%3ABiomedicines%E2%80%99%20generative,therapeutics%20based%20on%C2%A0de%20novo%C2%A0protein%20generation (accessed on 19 July 2025).
[66] Huanbutta, K.; Burapapadh, K.; Kraisit, P.; Sriamornsak, P.; Ganokratanaa, T.; Suwanpitak, K.; Sangnim, T. The Artificial Intelligence-Driven Pharmaceutical Industry: A Paradigm Shift in Drug Discovery, Formulation Development, Manufacturing, Quality Control, and Post-Market Surveillance. Eur. J. Pharm. Sci. 2024, 203, 106938. [CrossRef] [PubMed]
[67] Buterez, D.; Janet, J.P.; Kiddle, S.J.; Oglic, D.; Lió, P. Transfer Learning with Graph Neural Networks for Improved Molecular Property Prediction in the Multi-Fidelity Setting. Nat. Commun. 2024, 15, 1517. [CrossRef]
[68] Caldeweyher, E.; Elkin, M.; Gheibi, G.; Johansson, M.; Sköld, C.; Norrby, P.O.; Hartwig, J.F. Hybrid Machine Learning Approach to Predict the Site Selectivity of Iridium-Catalyzed Arene Borylation. J. Am. Chem. Soc. 2023, 145, 17367–17376. [CrossRef]
[69] Saini, J.P.S.; Thakur, A.; Yadav, D. AI Driven Innovations in Pharmaceuticals: Optimizing Drug Discovery and Industry Operations. RSC Pharm. 2025, 2, 437–454. [CrossRef]
[70] Gangwal, A.; Lavecchia, A. Artificial Intelligence in Preclinical Research: Enhancing Digital Twins and Organ-On-Chip to Reduce Animal Testing. Drug Discov. Today 2025, 30, 104360. [CrossRef]
[71] Konwarh, R. Vascularized Organoid-on-Chip Platforms: Expanding the Bioengineering Frontiers with Microfluidics. Biomater. Connect. 2025, 2, 2025.0016. [CrossRef]
[72] Chen, X.; Roberts, R.; Tong, W.; Liu, Z. Tox-GAN: An Artificial Intelligence Approach Alternative to Animal Studies—A Case Study with Toxicogenomics. Toxicol. Sci. 2021, 186, 242–259. [CrossRef]
[73] Jayatunga, M.K.; Ayers, M.; Bruens, L.; Jayanth, D.; Meier, C. How Successful Are AI-Discovered Drugs in Clinical Trials? A First Analysis and Emerging Lessons. Drug Discov. Today 2024, 29, 104009. [CrossRef]
[74] Fu, C.; Chen, Q. The Future of Pharmaceuticals: Artificial Intelligence in Drug Discovery and Development. J. Pharm. Anal. 2025, 101248. In press. [CrossRef]
[75] Malheiro, V.; Santos, B.; Figueiras, A.; Mascarenhas-Melo, F. The Potential of Artificial Intelligence in Pharmaceutical Innovation: From Drug Discovery to Clinical Trials. Pharmaceuticals 2025, 18, 788. [CrossRef] [PubMed]
[76] Bolte, L.; Van Wynsberghe, A. Sustainable AI and the Third Wave of AI Ethics: A Structural Turn. AI Ethics 2025, 5, 1733–1742. [CrossRef]
[77] Liu, B.H.M.; Lin, Y.; Long, X.; Hung, S.W.; Gaponova, A.; Ren, F.; Zhavoronkov, A.; Pun, F.W.; Wang, C.C. Utilizing AI for the Identification and Validation of Novel Therapeutic Targets and Repurposed Drugs for Endometriosis. Adv. Sci. 2025, 12, 2406565. [CrossRef]
[78] Ganthavee, V.; Trzcinski, A.P. Artificial Intelligence and Machine Learning for the Optimization of Pharmaceutical Wastewater Treatment Systems: A Review. Environ. Chem. Lett. 2024, 22, 2293–2318. [CrossRef]
[79] Safeer, S.; Pandey, R.P.; Rehman, B.; Safdar, T.; Ahmad, I.; Hasan, S.W.; Ullah, A. A Review of Artificial Intelligence in Water Purification and Wastewater Treatment: Recent Advancements. J. Water Process Eng. 2022, 49, 102974. [CrossRef]
[80] Wang, P.; Yao, J.; Wang, G.; Hao, F.; Shrestha, S.; Xue, B.; Xie, G.; Peng, Y. Exploring the Application of Artificial Intelligence Technology for Identification of Water Pollution Characteristics and Tracing the Source of Water Quality Pollutants. Sci. Total Environ. 2019, 693, 133440. [CrossRef] [PubMed]
[81] Chawishborwornworng, C.; Luanwuthi, S.; Umpuch, C.; Puchongkawarin, C. Bootstrap Approach for Quantifying the Uncertainty in Modeling of the Water Quality Index Using Principal Component Analysis and Artificial Intelligence. J. Saudi Soc. Agric. Sci. 2023, 23, 17–33. [CrossRef]
[82] Niu, C.; Li, B.; Wang, Z. Using Artificial Intelligence-Based Algorithms to Identify Critical Fouling Factors and Predict Fouling Behavior in Anaerobic Membrane Bioreactors. J. Membr. Sci. 2023, 687, 122076. [CrossRef]
[83] Tabatabai-Yazdi, F.S.; Pirbazari, A.E.; Saraei, F.E.K.; Gilani, N. Construction of Graphene Based Photocatalysts for Photocatalytic Degradation of Organic Pollutant and Modeling Using Artificial Intelligence Techniques. Phys. B Condens. Matter 2021, 608, 412869. [CrossRef]
[84] Yousefi Seyf, J.; Zarei, F.; Jalalinejad, A. Valorization of Pharmaceutical Waste by Recovery of Active Pharmaceutical Ingredients from Expired or Unused Finished Pharmaceutical Products with Thermodynamic Modeling. Org. Process Res. Dev. 2025, 29, 1333–1344. [CrossRef]
[85] Martinengo, B.; Diamanti, E.; Uliassi, E.; Bolognesi, M.L. Harnessing the 12 Green Chemistry Principles for Sustainable Antiparasitic Drugs: Toward the One Health Approach. ACS Infectious Diseases 2024, 10, 1856–1870. [CrossRef]
[86] Ashley, M.A.; Aukland, M.H.; Bryan, M.C.; Cismesia, M.A.; Dutschei, T.; Engl, O.D.; Engl, P.S.; García, Á.E.; Molina, A.G.; Harawa, V.; et al. Green Chemistry Articles of Interest to the Pharmaceutical Industry. Org. Process Res. Dev. 2025, 29, 1361–1372. [CrossRef]
Disclaimer/Publisher’s Note: The views expressed in this article are those of the author(s) and do not necessarily reflect the views of the publisher or editors. The publisher and editors assume no responsibility for any injury or damage resulting from the use of information contained herein.
We use cookies to improve your experience on our site. By continuing to use our site, you accept our use of cookies. Learn more